Kategorizacija hrvatskih sportaša je zakonski utemeljena javna ovlast HOO-a u razvrstavanju sportaša od I. do VI. kategorije, ovisno koji je rezultat ili poredak ostvario na međunarodnom i/ili nacionalnom sportskom natjecanju.
Upute za podnošenje zahtjeva za kategorizaciju:
- Sportaš elektronički ispunjava online obrazac za kategorizaciju sportaša https://hookasp.czd.hr/kasp/zahtjevi/1 - po završetku, kliknuti na opciju "Generiraj obrazac", čime će obrazac automatski biti lokalno (na osobnom računalu podnositelja zahtjeva) pohranjen u PDF formatu
- Pohranjeni obrazac sportaš će potom:
- Isprintati
- Vlastoručno potpisati
- Uz obrazac priložiti dokumentaciju kao dokaz o ostvarenom kriteriju koji je osnova za razvrstavanje u određenu kategoriju
- Ovjeriti (potpisom i pečatom) u svom matičnom sportskom klubu te dostaviti nacionalnom sportskom savezu
Uz podneseni zahtjev za kategorizaciju sportaša, a koji treba biti ispunjen i ovjeren od strane mjerodavnih osoba, potrebno je dostaviti rezultate ovjerene od strane nadležne osobe s natjecanja (sudac, direktor natjecanja). Zahtjev koji je pravovaljano, sa svom popratnom dokumentacijom upućen Stručnoj službi HZS, bit će obrađen. Zahtjev koji nije ispunjen, potpisan i kojem nedostaje priložena dokumentacija bit će vraćen na adresu pošiljatelja.
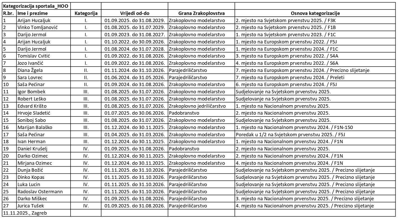
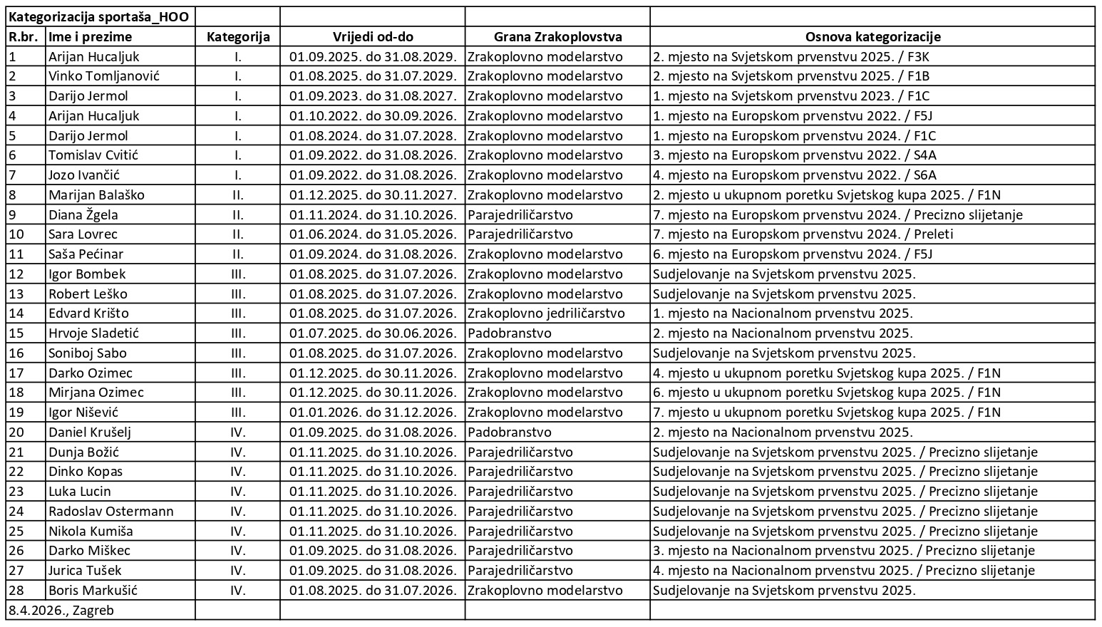
Kategorizirani sportaši HZS


